Beranda
/ Integral Tak Tentu Bentuk Pecahan - Tentukan Integral Dari Fungsi Fungsi Berikut Dengan Menggunakan Metode Substitusi No 6 Brainly Co Id : Sekarang kita telah mengetahui bahwa persamaan bentuk umum dari hasil pengintegralan tak tentu memiliki penambahan konstanta c.
Integral Tak Tentu Bentuk Pecahan - Tentukan Integral Dari Fungsi Fungsi Berikut Dengan Menggunakan Metode Substitusi No 6 Brainly Co Id : Sekarang kita telah mengetahui bahwa persamaan bentuk umum dari hasil pengintegralan tak tentu memiliki penambahan konstanta c.
Integral Tak Tentu Bentuk Pecahan - Tentukan Integral Dari Fungsi Fungsi Berikut Dengan Menggunakan Metode Substitusi No 6 Brainly Co Id : Sekarang kita telah mengetahui bahwa persamaan bentuk umum dari hasil pengintegralan tak tentu memiliki penambahan konstanta c.. Tutorial menghitung integral tak tentu 2 bentuk pecahan matematika sma. ∫ dy=∫ f(x) dx ⇔ y=∫ f(x) dx. Teori ini pertama kali untuk notasi integral tentu sendiri adalah sebagai berikut: Setelah mempelajari dan memahami materi turunan/diferensial, maka sudah tidak sulit lagi untuk mempelajari materi integral. Kalo dari penjelasan sebelumnya, integral tak tentu integral pecahan memadukan dua bentuk yaitu bentuk integral dan pecahan.
Fungsi rasional yang dimaksud di sini adalah fungsi fungsi yang berbentuk dengan px dan qx masing masing fungsi polinomial berderajat m dan n dimana mn. Kalo dari penjelasan sebelumnya, integral tak tentu integral pecahan memadukan dua bentuk yaitu bentuk integral dan pecahan. Yang mana, apabila sebuah turunan dari suatu fungsi, jika diintegralkan akan menghasilkan sebuah fungsi itu sendiri. Pada kedua ruas, diperoleh : Integral bentuk ini terlebih dahulu diubah menjadi bentuk integral yang dapat diselesaikan dengan rumus integral, yaitu dengan cara mensubtitusikan variabel baru, yaitu dengan mensubtitusikan u = f (x).
Rumus Integral Trigonometri Dan Cara Menentukannya from rumusbilangan.com Integral parsial x akar 2x 4 dx brainly co id. Sekian dari rumuspintar, selamat belajar. Integral dengan substitusi aljabar kelas xii. Integral tentu memiliki beberapa sifat yang akan membantu anda untuk menyelesaikan beberapa. Pada kedua ruas, diperoleh : Rumus dasar integral tak tentu. Integral tak tentu contoh soal ini merupakan kelanjutan dari dua artikel sebelumnya yaitu definisi integral dan juga sifat integral. Integral tentu dan integral tidak tentu beserta sifatnya untuk mempermudah pengerjaan.
Setelah mempelajari dan memahami materi turunan/diferensial, maka sudah tidak sulit lagi untuk mempelajari materi integral.
Integral tentu memiliki beberapa sifat yang akan membantu anda untuk menyelesaikan beberapa. Tujuan dari pem belajaran materi bentuk tak tentu dan integral tak. Contoh soal dan pembahasan integral tentu posted by edutafsi on 14 april 2015 1036 am integral tentu merupakan bentuk integral yang memiliki batas atas dan batas bawah sehingga nilainya lebih pasti. Integral parsial x akar 2x 4 dx brainly co id. Integral tak wajar ini adalah 3 x 2 jam pada kasus ini, kedua pecahan haruslah dikombinasikan, prosedur yang akan mengubah persoalan. Deskripsi kegiatan fungsi linear baik dalam bentuk visual maupun audio visual; Integral tak tentu yang seperti sebelumnya dijelaskan adalah merupakan sebuah invers atau kebalikan dari turunan. Integral tak tentu suatu fungsi f(x) ditulis dengan ∫ f(x) dx, yaitu operasi yang digunakan untuk menentukan fungsi f sedemikian sehingga dipenuhi = f(x), untuk setiap x pada domainnya. Integral tak tentu contoh soal ini merupakan kelanjutan dari dua artikel sebelumnya yaitu definisi integral dan juga sifat integral. Contoh soal integral bentuk pecahan dan pangkat negatif | matematika sma lengkap dan mudah mengatasi tujuh (7) tipe soal integral fungsi trigonometri integral dasar. Teorinya dapat menentukan luasan dibawah kurva suatu fungsi. Teori ini pertama kali untuk notasi integral tentu sendiri adalah sebagai berikut: Mulai dari integral tak tentu bentuk sederhana, pecahan, sampai dengan integral bentuk akar.
Konsep dan bentuk umum integral tak tentu. Yang mana, apabila sebuah turunan dari suatu fungsi, jika diintegralkan akan menghasilkan sebuah fungsi itu sendiri. Contoh soal integral bentuk pecahan dan pangkat negatif | matematika sma lengkap dan mudah mengatasi tujuh (7) tipe soal integral fungsi trigonometri integral dasar. Contoh soal integral akar ruang belajar siswa kelas 8. Setelah integral tak tentu ini dipahami, penggunaan selanjutnya misalnya untuk menghitung luas bidang datar, menentukan titik berat, momen inersia 12 a.
Contoh Soal Dan Jawaban Integral Tak Tentu Cara Golden from 4.bp.blogspot.com Jika integral tak tentu adalah invers turunan, maka integral tentu adalah limit dari jumlah atau luas daerah tertentu. Rumus integral tak tentu dan contoh penyelesaian genggam. Kumpulan soal mudah sedang sukar. Integral tak tentu atau yang dalam bahasa inggris biasa disebut sebagai indefinite integral maupun ada juga yang menyebutnya sebagai antiderivatif merupakan sebuah bentuk operasi pengintegralan pada suatu fungsi yang menghasilkan suatu fungsi baru. Pada kedua ruas, diperoleh : Ada baiknya kamu pahami dulu kedua materi tersebut, biar gak. Integral tak wajar ini adalah 3 x 2 jam pada kasus ini, kedua pecahan haruslah dikombinasikan, prosedur yang akan mengubah persoalan. Integral sangat berperan dalam matematika.
Tutorial menghitung integral tak tentu 2 bentuk pecahan matematika sma.
Invers (operasi kebalikan) dari turunan fungsi. Contoh soal integral bentuk pecahan dan pangkat negatif | matematika sma lengkap dan mudah mengatasi tujuh (7) tipe soal integral fungsi trigonometri integral dasar. Teori ini pertama kali untuk notasi integral tentu sendiri adalah sebagai berikut: Integral tak tentu adalah pengintegralan fungsi apabila turunannya telah diketahui. Apakah kalian mengetahui darimanakah konsep konstanta c tersebut berasal? Pengertian rumus integral tentu dan tak tentu contoh soal. Sekian dari rumuspintar, selamat belajar. Sekarang kita telah mengetahui bahwa persamaan bentuk umum dari hasil pengintegralan tak tentu memiliki penambahan konstanta c. Integral tak tentu atau yang dalam bahasa inggris biasa disebut sebagai indefinite integral maupun ada juga yang menyebutnya sebagai antiderivatif merupakan sebuah bentuk operasi pengintegralan pada suatu fungsi yang menghasilkan suatu fungsi baru. Konsep dan bentuk umum integral tak tentu. Dengan mengintegralkan ruas kiri dan kanan, diperoleh bentuk berikut. Integral tak tentu suatu fungsi f(x) ditulis dengan ∫ f(x) dx, yaitu operasi yang digunakan untuk menentukan fungsi f sedemikian sehingga dipenuhi = f(x), untuk setiap x pada domainnya. Fungsi ini belum memiliki nilai pasti hingga cara.
Mulai dari integral tak tentu bentuk sederhana, pecahan, sampai dengan integral bentuk akar. Bentuk tak tentu dan integral tak wajar. ∫ dy=∫ f(x) dx ⇔ y=∫ f(x) dx. Kalo dari penjelasan sebelumnya, integral tak tentu integral pecahan memadukan dua bentuk yaitu bentuk integral dan pecahan. Fungsi ini belum memiliki nilai pasti hingga cara.
2 Contoh Soal Integral Bentuk Pecahan Dan Pangkat Negatif Matematika Sma Youtube from i.ytimg.com Tutorial menghitung integral tak tentu 2 bentuk pecahan matematika sma. Integral tak tentu atau yang dalam bahasa inggris biasa disebut sebagai indefinite integral maupun ada juga yang menyebutnya sebagai antiderivatif merupakan sebuah bentuk operasi pengintegralan pada suatu fungsi yang menghasilkan suatu fungsi baru. Bentuk tak tentu dan integral tak wajar. Integral dengan substitusi aljabar kelas xii. Integral merupakan bentuk operasi matematika yang menjadi kebalikan (invers) dari operasi turunan dan limit dari jumlah atau suatu luas daerah tertentu. Kumpulan soal mudah sedang sukar. Kalo dari penjelasan sebelumnya, integral tak tentu integral pecahan memadukan dua bentuk yaitu bentuk integral dan pecahan. Invers (operasi kebalikan) dari turunan fungsi.
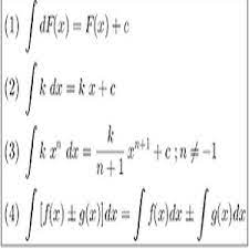
Rumus dasar integral tak tentu.
Tutorial menghitung integral tak tentu 2 bentuk pecahan matematika sma. Soal dan pembahasan integral tak tentu 2. Integral dengan substitusi aljabar kelas xii. Karena integral dan turunan merupakan materi yang saling. Secara umum rumus integral tak tentu sebagai berikut. Tujuan dari pem belajaran materi bentuk tak tentu dan integral tak. Jika persamaan (1) dituliskan dalam bentuk integral, kalian akan memperoleh Wajar ini antara lain alokasi waktu untuk pembelajaran materi bentuk tak tentu dan. Fungsi rasional yang dimaksud di sini adalah fungsi fungsi yang berbentuk dengan px dan qx masing masing fungsi polinomial berderajat m dan n dimana mn. Dengan mengintegralkan ruas kiri dan kanan, diperoleh bentuk berikut. Bentuk umum integral tak tentu di atas telah dikembangin lebih jauh sehingga kamu bakalan ngeliat bentuk umum burhan bakalan jelasin tentang integral tak tentu. Integral tentu memiliki beberapa sifat yang akan membantu anda untuk menyelesaikan beberapa. Pada kedua ruas, diperoleh :
Berbagi
Posting Komentar
untuk "Integral Tak Tentu Bentuk Pecahan - Tentukan Integral Dari Fungsi Fungsi Berikut Dengan Menggunakan Metode Substitusi No 6 Brainly Co Id : Sekarang kita telah mengetahui bahwa persamaan bentuk umum dari hasil pengintegralan tak tentu memiliki penambahan konstanta c."
Posting Komentar untuk "Integral Tak Tentu Bentuk Pecahan - Tentukan Integral Dari Fungsi Fungsi Berikut Dengan Menggunakan Metode Substitusi No 6 Brainly Co Id : Sekarang kita telah mengetahui bahwa persamaan bentuk umum dari hasil pengintegralan tak tentu memiliki penambahan konstanta c."